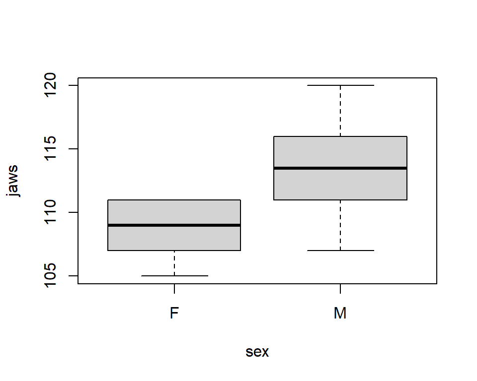
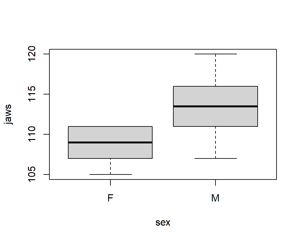
males<-c(120, 107, 110, 116, 114, 111, 113, 117, 114, 112)
females<-c(110, 111, 107, 108, 110, 105, 107, 106, 111, 111)
jawdat <- data.frame(jaws = c(males, females),
sex = c(rep("M",10), rep("F", 10)))Learn how to use Generalized Least Squares (GLS) to model data where \(Y_i|X_i\) is normally distributed, but the variance is not constant and may depend on one or more predictor variables.
GLS can also be used to model data that are correlated:


Eric North, PhD (former FW8051 student and urban forester).
\(Y_i = \beta_0 + X_i\beta_1 + \epsilon_i\)
Assume \(\epsilon_i\) are independent, normally distributed, with constant variance.
\(\epsilon_i \stackrel{iid}{\sim} N(0, \sigma^2)\)
\(iid\) = independent and identically distributed
\[Y_i \sim N(\mu_i, \sigma^2)\]
\[\mu_i= \beta_0 + X_i\beta_1\]
\[Y_i \sim N(\mu_i, \sigma_i^2)\]
\[\mu_i= \beta_0 + X_i\beta_1\]
\[\sigma^2_i \sim f(X_i; \tau)\]
Model the mean and variance:
\[Y_i \sim N(\mu_i, \sigma_i^2)\]
\[\mu_i= \beta_0 + X_i\beta_1\]
\[\sigma^2_i \sim f(X_i; \tau)\]
varIdent: \(\sigma^2_i = \sigma^2_g\)varFixed: \(\sigma^2_i = \sigma^2X_i\)varPower: \(\sigma^2 |X_i|^{2\delta}\)varExp: \(\sigma^2e^{2\delta X_i}\)varConstPower: \(\sigma^2 (\delta_1 + |X_i|^{\delta_2})^2\)varPower(form = ~ fitted(.)): \(\sigma^2_i= \sigma^2\mu_i^{2\theta} = \sigma^2(\beta_0 + X_{1i}\beta_1 + X_{2i}\beta_2 + \ldots X_{pi}\beta_p)^{2\theta}\)Many of these options can be understood in terms of a model for log(\(\sigma_i\))1:
varPower: \(\sigma^2_i = \sigma^2 |X_i|^{2\delta}\) \(\Rightarrow \log(\sigma_i) = log(\sigma) + \delta\log(|X_i|)\)
Notes:
varExp: \(\sigma^2_i = \sigma^2e^{2\delta X_i}\) \(\Rightarrow log(\sigma_i) = log(\sigma) + \delta X_i\)
We are assuming the log of the variance depends linearly on (\(X_i\)) or log(\(X_i\))
One of my goals in this section is to demonstrate how we can fit flexible models formulated using:
Eventually, you will be able to formulate and fit custom models using Maximum Likelihood and Bayesian methods:
\[\sigma^2_i = \sigma^2 |X_i|^{2\delta_1}|Z_i|^{2\delta_2}\]
where \(X_i\) and \(Z_i\) are two different covariates and \(\sigma^2, \delta_1, \delta_2\) are parameters to be estimated.
\(Y_i\) = jaw length for jackal \(i\)
\[\begin{gather} Y_i \sim N(\mu_{i}, \sigma^2_{i}) \\ \mu_i = \beta_0 + \beta_1 \text{I(sex=male)}_i \\ \sigma_i^2 = \sigma^2_{sex} \end{gather}\]
Estimates of regression parameters are obtained by minimizing:
\[\begin{gather} \sum_{i = 1}^n \frac{(Y_i - \mu_i)^2}{2\sigma^2_i} \nonumber \end{gather}\]
Generalized least squares fit by REML
Model: jaws ~ sex
Data: jawdat
AIC BIC logLik
102.0841 105.6456 -47.04206
Variance function:
Structure: Different standard deviations per stratum
Formula: ~1 | sex
Parameter estimates:
M F
1.0000000 0.6107279
Coefficients:
Value Std.Error t-value p-value
(Intercept) 108.6 0.7180211 151.24903 0.0000
sexM 4.8 1.3775993 3.48432 0.0026
Correlation:
(Intr)
sexM -0.521
Standardized residuals:
Min Q1 Med Q3 Max
-1.72143457 -0.70466511 0.02689742 0.76657633 1.77522940
Residual standard error: 3.717829
Degrees of freedom: 20 total; 18 residual
Apparent parameterization:
\(\sigma^2_{sex} = \sigma^2\delta^2_{sex}\), which is the same as \(\sigma_{sex} = \sigma\delta_{sex}\)
with:
Actual parameterization used by R (linear model on log scale):
\(log(\sigma_i) = log(\sigma) + log(\delta)\text{I(sex = female)}_i\)
Ensures that \(\sigma_i\) is positive when we back-transform using exp().
\(\sigma_i = \sigma \delta^{\text{I(sex=female)}}\)
(see book for details if you are interested)


Use historical correlation between the count at Mission and \(S_t + C_t\) to manage the fishery
See the book for syntax associated with the other models.
Standardized residuals = \((Y_i - \hat{Y}_i)/\hat{\sigma}_i\), should have approximately constant variance:
\[\begin{gather} Y_i \sim N(\mu_i, \sigma_i^2) \nonumber \\ \mu_i = \beta_0 + \beta_1X_i \nonumber \\ \sigma^2_i = \mu_i^{2\delta} \nonumber \end{gather}\]
Fit using varPower(form = ~ fitted(.)). See textbook via this link.
varPower(form = ~ fitted(.)) can allow the variance to depend on multiple predictor variables since \(\sigma_i^2 = \sigma^2|\mu_i|^{2\theta}\), with \(\mu_i = \beta_0 + \beta_1X_{1i} + \ldots \beta_pX_{pi}\)glsInspect residuals, consider alternative variance structures if necessary (e.g., comparing models using AIC)
Settle on optimal variance model
For a confidence interval, we need to consider:
\(var(\hat{\mu}_i) = var(\hat{\beta}_0 + X_i\hat{\beta}_1)\)
For a prediction interval, we need to consider:
\(var(\hat{Y}_i) = var(\hat{\beta}_0 + X_i\hat{\beta}_1+ \epsilon_i)\)
\(\hat{\mu}_i = \hat{\beta}_0 + \hat{\beta_1}X_i\)
\(\hat{\mu}= \begin{bmatrix} 1 & X_1\\ 1 & X_2\\ \vdots & \vdots\\ 1 & X_n\\ \end{bmatrix}\begin{bmatrix} \hat{\beta}_0\\ \hat{\beta}_1\\ \end{bmatrix}=\begin{bmatrix} \hat{\beta}_0 + X_1\hat{\beta}_1\\ \hat{\beta}_0 + X_2\hat{\beta}_1\\ \vdots \\ \hat{\beta}_0 + X_n\hat{\beta}_1\\ \end{bmatrix}\)
\(var(\hat{\mu}) = Var(\hat{\beta}_0 + X\hat{\beta}_1) = Var(\hat{\beta}_0) + X^2Var(\hat{\beta}_1)+2XCov(\hat{\beta}_0, \hat{\beta}_1)\)
Define:
Let \(X\) = \(\begin{bmatrix} 1 & X_1\\ 1 & X_2\\ \vdots & \vdots\\ 1 & X_n\\ \end{bmatrix}\) and \(X^\prime\) be its transpose
\(\hat{\Sigma} =\begin{bmatrix} \hat{\sigma}^2_{\hat{\beta}_0} & \hat{\sigma}^2_{\hat{\beta}_0,\hat{\beta}_1}\\ \hat{\sigma}^2_{\hat{\beta}_0,\hat{\beta}_1} & \hat{\sigma}^2_{\hat{\beta}_1} \\ \end{bmatrix}\)
\(\widehat{var}(\hat{\mu}) = Var(\hat{\beta}_0 + \hat{\beta}_1X)\) = \(X\hat{\Sigma}X^\prime\)
We can use matrix multiplication to efficiently calculate intervals for multiple observations.
In R, we do this by using %*%
Let \(X\) = design matrix = \(\begin{bmatrix} 1 & X_1\\ 1 & X_2\\ \vdots & \vdots\\ 1 & X_n\\ \end{bmatrix}\)
\(\hat{\mu} = X\)%*% coef(modelname) gives us predicted values for all rows of the \(X\) matrix.
\(\widehat{var}(\hat{\mu}) = X\)%*% vcov(modelname) %*%\(t(X)\)
vcov(model) = \(\hat{\Sigma}\) = estimated variance-covariance matrix of \(\hat{\beta}\) (works forlm, gls, maybe others)t to get a transpose of a matrixWe end up with a matrix that looks something like:
\(\begin{bmatrix} var(\hat{\mu}_1) & cov(\hat{\mu}_1, \hat{\mu}_2) & \cdots & cov(\hat{\mu}_1, \hat{Y}_n)\\ cov(\hat{\mu}_2, \hat{\mu}_1) & \ddots & \ddots & \vdots\\ \vdots & \ddots & \ddots & cov(\hat{\mu}_{n-1}, \hat{\mu}_n) \\ cov(\hat{\mu}_n, \hat{\mu}_1) & \cdots & cov(\hat{\mu}_{n}, \hat{\mu}_{n-1}) & var(\hat{\mu}_n)\\ \end{bmatrix}\)
Pull off the diagonal elements (the variances) - see the textbook for code.
\(var(\hat{Y}_i) = var(\hat{\beta}_0 + X_i\hat{\beta}_1+ \epsilon_i)\)
So, to construct a prediction interval, we approximate \(var(\hat{Y}_i)\) with:
\(\widehat{var}(\hat{Y}_i) \approx \widehat{var}(\hat{\beta}_0 + X_i\hat{\beta}_1) + \hat{\sigma}^2_i\) = \(X_i\hat{\Sigma}X_i^{\prime} + \hat{\sigma}^2_i\).
Note, these estimates are approximate in that: